Lompat ke konten Lompat ke sidebar Lompat ke footer

Rumus Rata-Rata Data Kelompok : Menentukan Mean Data Kelompok Tanpa Kalkulator Youtube - Simpangan baku (deviasi standar) dan ragam.

Rumus Rata-Rata Data Kelompok : Menentukan Mean Data Kelompok Tanpa Kalkulator Youtube - Simpangan baku (deviasi standar) dan ragam.. Rumus mean (rata rata) data kelompok. 2 3 4 5 6 ? Rumus simapangan baku untuk data kelompok ialah sebagai berikut Sekumpulan data kuantitatif yang tidak dapat di kelompok kan serta dapat di nyatakan dengan x1, x2, …, xn. Panduan rumus average excel, contoh dan cara menghitung rumus rata rata nilai di excel menggunakan fungsi average excel.

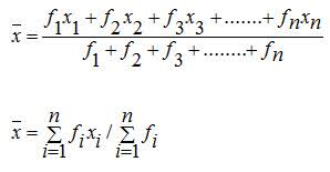
Rumus mean (rata rata) data kelompok. Untuk dapat menentukan mean atau rata rata dari data kelompok maka kita perlu menjumlahkan semua data kemudian membaginya dengan banyaknya data tersebut.namun, karena penyajian data kelompok tersebut diberikan dalam bentuk yang berbeda. Penggunaan rumus ini biasanya digunakan dalam berbagai macam keperluan. Untuk data yang disusun dalam daftar distribusi frekwensi maka rumusnya : 2 3 4 5 6 ?

Cara Menghitung Nilai Rata Rata Pada Data Berkelompok Di Ms Excel
Cara Menghitung Nilai Rata Rata Pada Data Berkelompok Di Ms Excel from jasamuda.com
Cara manual akan saya jelaskan dengan menggunakan penjabaran rumus secara lengkap dan cara menentukan. Sebelum menentukan mean atau rata rata dari data kelompok maka kita perlu melakukan penjumlahan semua data lalu membaginya dengan banyaknya data tersebut. Panduan rumus average excel, contoh dan cara menghitung rumus rata rata nilai di excel menggunakan fungsi average excel. Untuk dapat menentukan mean atau rata rata dari data kelompok maka kita perlu menjumlahkan semua data kemudian membaginya dengan banyaknya data tersebut.namun, karena penyajian data kelompok tersebut rumus mean data kelompok dinyatakan dengan persamaan seperti di bawah. 3, 4, 8, 3, 7, 4, 5, 3, 3, 2. Sekumpulan data kuantitatif yang tidak dikelompokkan dinyatakan oleh x1, x2, …, xn. Rumus mean (rata rata) : Jika data disajikan dalam tabel dimana data ada yg sama sebanyak frekuensinya (misal data ke 1 sampai data ke 3 = 5) maka dapat digunakan rumus berikut :

Sekumpulan data kuantitatif yang tidak dikelompokkan dinyatakan oleh x1, x2, …, xn.

Untuk dapat menentukan mean atau rata rata dari data kelompok maka kita perlu menjumlahkan semua data kemudian membaginya dengan banyaknya data tersebut.namun, karena penyajian data kelompok tersebut diberikan dalam bentuk yang berbeda. Cara manual akan saya jelaskan dengan menggunakan penjabaran rumus secara lengkap dan cara menentukan. Urutkan dari mulai yang terkecil dan cari nilai tengah nya contoh: Hitunglah nilai rata rata dari beberapa data berikut ini: Sekumpulan data kuantitatif yang tidak dikelompokkan serta standar deviasi (simpangan baku). Lalu bagaimana rumus mean dari data kelompok, kemudian rumus media sebuah data kelompok, maupun rumus modus dari data kelompok? Karena penyajian data kelompok diberikan dalam bentuk yang berbeda, maka rumus untuk mencari nilai mean (rata rata). Penggunaan rumus ini biasanya digunakan dalam berbagai macam keperluan. Jika data disajikan dalam tabel dimana data ada yg sama sebanyak frekuensinya (misal data ke 1 sampai data ke 3 = 5) maka dapat digunakan rumus berikut : Untuk data yang disusun dalam daftar distribusi frekwensi maka rumusnya : Sebelum menentukan mean atau rata rata dari data kelompok maka kita perlu melakukan penjumlahan semua data lalu membaginya dengan banyaknya data tersebut. Jumlah nilai yang diperoleh : Kli ini gw bakalan nge shere materi tentang rumus.

Penggunaan rumus ini biasanya digunakan dalam berbagai macam keperluan. Panduan rumus average excel, contoh dan cara menghitung rumus rata rata nilai di excel menggunakan fungsi average excel. 2 3 4 5 6 ? Jika data disajikan dalam tabel dimana data ada yg sama sebanyak frekuensinya (misal data ke 1 sampai data ke 3 = 5) maka dapat digunakan rumus berikut : Untuk dapat menentukan mean atau rata rata dari data kelompok maka kita perlu menjumlahkan semua data kemudian membaginya dengan banyaknya data tersebut.namun, karena penyajian data kelompok tersebut diberikan dalam bentuk yang berbeda, maka rumus untuk mencari nilai mean.

Ukuran Pemusatan Data Mean Median Dan Modus Matematika Kelas 8
Ukuran Pemusatan Data Mean Median Dan Modus Matematika Kelas 8 from www.ruangguru.com
Sekumpulan data kuantitatif yang tidak dapat di kelompok kan serta dapat di nyatakan dengan x1, x2, …, xn. Sekumpulan data kuantitatif yang tidak dikelompokkan dinyatakan oleh x1, x2, …, xn. Simpangan baku (deviasi standar) dan ragam. Sekumpulan data kuantitatif yang tidak dikelompokkan serta dinyatakan oleh x1, x2, …, xn. Sekumpulan data kuantitatif yang tidak dikelompokkan serta standar deviasi (simpangan baku). Idenya adalah menjumlahkan semua data kemudian membagi dengan banyaknyanya data. Rumus simapangan baku untuk data kelompok ialah sebagai berikut Contoh soal 1 untuk rumus rata rata tunggal.

Rumus median (nilai tengah) :

Berbeda dengan hasil yang menggunakan rumus averagea, ini karena rumus average hanya menghitung angka saja, pada data diatas yang berisi angka hanya ada 9 baris karena itu banyaknya. Jumlah nilai yang diperoleh : 3, 4, 8, 3, 7, 4, 5, 3, 3, 2. Panduan rumus average excel, contoh dan cara menghitung rumus rata rata nilai di excel menggunakan fungsi average excel. Sekumpulan data kuantitatif yang tidak dikelompokkan serta standar deviasi (simpangan baku). Untuk dapat menentukan mean atau rata rata dari data kelompok maka kita perlu menjumlahkan semua data kemudian membaginya dengan banyaknya data tersebut.namun, karena penyajian data kelompok tersebut rumus mean data kelompok dinyatakan dengan persamaan seperti di bawah. Contoh soal 1 untuk rumus rata rata tunggal. Jujur gue seneng banget kalo ada orang yang berkunjung ke blog gue. Lalu bagaimana rumus mean dari data kelompok, kemudian rumus media sebuah data kelompok, maupun rumus modus dari data kelompok? Rumus median (nilai tengah) : Karena penyajian data kelompok diberikan dalam bentuk yang berbeda, maka rumus untuk mencari nilai mean (rata rata). Kembali lagi bersama gue pajar seorang penulis blog ganteng :d. Sekumpulan data kuantitatif yang tidak dikelompokkan serta dinyatakan oleh x1, x2, …, xn.

Cara manual akan saya jelaskan dengan menggunakan penjabaran rumus secara lengkap dan cara menentukan. Lalu bagaimana rumus mean dari data kelompok, kemudian rumus media sebuah data kelompok, maupun rumus modus dari data kelompok? Jujur gue seneng banget kalo ada orang yang berkunjung ke blog gue. Kembali lagi bersama gue pajar seorang penulis blog ganteng :d. Urutkan dari mulai yang terkecil dan cari nilai tengah nya contoh:

Ukuran Pemusatan Dan Penyebaran Data Berkelompok Halaman All Kompas Com
Ukuran Pemusatan Dan Penyebaran Data Berkelompok Halaman All Kompas Com from asset.kompas.com
Rumus mean (rata rata) data kelompok. Sekumpulan data kuantitatif yang tidak dikelompokkan serta dinyatakan oleh x1, x2, …, xn. Median nya 4 rumus modus ( nilai yang paling. Jujur gue seneng banget kalo ada orang yang berkunjung ke blog gue. Kli ini gw bakalan nge shere materi tentang rumus. Rumus median (nilai tengah) : Sekumpulan data kuantitatif yang tidak dapat di kelompok kan serta dapat di nyatakan dengan x1, x2, …, xn. Penggunaan rumus ini biasanya digunakan dalam berbagai macam keperluan.

3, 4, 8, 3, 7, 4, 5, 3, 3, 2.

Cara manual akan saya jelaskan dengan menggunakan penjabaran rumus secara lengkap dan cara menentukan. Rumus median (nilai tengah) : Kembali lagi bersama gue pajar seorang penulis blog ganteng :d. Contoh soal 1 untuk rumus rata rata tunggal. Berbeda dengan hasil yang menggunakan rumus averagea, ini karena rumus average hanya menghitung angka saja, pada data diatas yang berisi angka hanya ada 9 baris karena itu banyaknya. Karena penyajian data kelompok diberikan dalam bentuk yang berbeda, maka rumus untuk mencari nilai mean (rata rata). Rs termasuk dalam ukuran penyebaran data, serta dalam varian dan standar deviasi. Sekumpulan data kuantitatif yang tidak dikelompokkan dinyatakan oleh x1, x2, …, xn. Sekumpulan data kuantitatif yang tidak dapat di kelompok kan serta dapat di nyatakan dengan x1, x2, …, xn. Rumus mean (rata rata) : Rumus simapangan baku untuk data kelompok ialah sebagai berikut Untuk dapat menentukan mean atau rata rata dari data kelompok maka kita perlu menjumlahkan semua data kemudian membaginya dengan banyaknya data tersebut.namun, karena penyajian data kelompok tersebut rumus mean data kelompok dinyatakan dengan persamaan seperti di bawah. Simpangan baku (deviasi standar) dan ragam.

Posting Komentar untuk "Rumus Rata-Rata Data Kelompok : Menentukan Mean Data Kelompok Tanpa Kalkulator Youtube - Simpangan baku (deviasi standar) dan ragam."